An Open Top Box Is To Be Made From A Square Piece Of Cardboard . Find the value of ???x??? Cut from each of its corners, such that folding up the sides will create a box with no top. Piece of cardboard by removing a square. this video shows how to construct a box of largest volume from a flat square piece of cardboard by cutting out the. A box with an open top is to be constructed from a square piece of cardboard, 3 ft wide, by cutting out a. consider the following problem: First, we’ll sketch an image of the flat piece of paper. the volume vv of the box can be calculated as the product of its length, width, and height: V= (3−2x)× (3−2x)×yv= (3−2x)× (3−2x)×y. find the depth of the largest box that can be made by cutting equal squares of side x out of the corners of a piece of cardboard of. maximizing the volume of a box.
from www.numerade.com
the volume vv of the box can be calculated as the product of its length, width, and height: Find the value of ???x??? Piece of cardboard by removing a square. Cut from each of its corners, such that folding up the sides will create a box with no top. find the depth of the largest box that can be made by cutting equal squares of side x out of the corners of a piece of cardboard of. consider the following problem: V= (3−2x)× (3−2x)×yv= (3−2x)× (3−2x)×y. this video shows how to construct a box of largest volume from a flat square piece of cardboard by cutting out the. A box with an open top is to be constructed from a square piece of cardboard, 3 ft wide, by cutting out a. First, we’ll sketch an image of the flat piece of paper.
SOLVED An open= top box is to be made from a 4 in. by 1 in piece of
An Open Top Box Is To Be Made From A Square Piece Of Cardboard A box with an open top is to be constructed from a square piece of cardboard, 3 ft wide, by cutting out a. consider the following problem: find the depth of the largest box that can be made by cutting equal squares of side x out of the corners of a piece of cardboard of. the volume vv of the box can be calculated as the product of its length, width, and height: this video shows how to construct a box of largest volume from a flat square piece of cardboard by cutting out the. First, we’ll sketch an image of the flat piece of paper. Piece of cardboard by removing a square. Cut from each of its corners, such that folding up the sides will create a box with no top. maximizing the volume of a box. A box with an open top is to be constructed from a square piece of cardboard, 3 ft wide, by cutting out a. Find the value of ???x??? V= (3−2x)× (3−2x)×yv= (3−2x)× (3−2x)×y.
From socratic.org
An open box is to be made from a rectangular sheet of cardboard od An Open Top Box Is To Be Made From A Square Piece Of Cardboard this video shows how to construct a box of largest volume from a flat square piece of cardboard by cutting out the. Piece of cardboard by removing a square. Find the value of ???x??? First, we’ll sketch an image of the flat piece of paper. consider the following problem: V= (3−2x)× (3−2x)×yv= (3−2x)× (3−2x)×y. A box with an. An Open Top Box Is To Be Made From A Square Piece Of Cardboard.
From www.numerade.com
SOLVEDAn opentop box is to be made from a 24 in. by 36 in. piece of An Open Top Box Is To Be Made From A Square Piece Of Cardboard the volume vv of the box can be calculated as the product of its length, width, and height: A box with an open top is to be constructed from a square piece of cardboard, 3 ft wide, by cutting out a. First, we’ll sketch an image of the flat piece of paper. this video shows how to construct. An Open Top Box Is To Be Made From A Square Piece Of Cardboard.
From cemhbdof.blob.core.windows.net
Best Cardboard Box at Dwight Jones blog An Open Top Box Is To Be Made From A Square Piece Of Cardboard find the depth of the largest box that can be made by cutting equal squares of side x out of the corners of a piece of cardboard of. A box with an open top is to be constructed from a square piece of cardboard, 3 ft wide, by cutting out a. Piece of cardboard by removing a square. . An Open Top Box Is To Be Made From A Square Piece Of Cardboard.
From www.youtube.com
A box with an open top is to be constructed from a rectangular piece of An Open Top Box Is To Be Made From A Square Piece Of Cardboard A box with an open top is to be constructed from a square piece of cardboard, 3 ft wide, by cutting out a. Find the value of ???x??? Cut from each of its corners, such that folding up the sides will create a box with no top. this video shows how to construct a box of largest volume from. An Open Top Box Is To Be Made From A Square Piece Of Cardboard.
From www.numerade.com
SOLVED An opentop box is to be made from a 36 in. by 30 in piece of An Open Top Box Is To Be Made From A Square Piece Of Cardboard maximizing the volume of a box. First, we’ll sketch an image of the flat piece of paper. consider the following problem: Find the value of ???x??? Cut from each of its corners, such that folding up the sides will create a box with no top. find the depth of the largest box that can be made by. An Open Top Box Is To Be Made From A Square Piece Of Cardboard.
From solvedlib.com
A box with an open top is to be constructed from a sq… SolvedLib An Open Top Box Is To Be Made From A Square Piece Of Cardboard consider the following problem: find the depth of the largest box that can be made by cutting equal squares of side x out of the corners of a piece of cardboard of. A box with an open top is to be constructed from a square piece of cardboard, 3 ft wide, by cutting out a. Piece of cardboard. An Open Top Box Is To Be Made From A Square Piece Of Cardboard.
From www.numerade.com
An open box with a square base is to be made from a square piece of An Open Top Box Is To Be Made From A Square Piece Of Cardboard maximizing the volume of a box. consider the following problem: this video shows how to construct a box of largest volume from a flat square piece of cardboard by cutting out the. A box with an open top is to be constructed from a square piece of cardboard, 3 ft wide, by cutting out a. Cut from. An Open Top Box Is To Be Made From A Square Piece Of Cardboard.
From www.youtube.com
Optimization Open Top Box of Largest Volume from Square Piece of An Open Top Box Is To Be Made From A Square Piece Of Cardboard find the depth of the largest box that can be made by cutting equal squares of side x out of the corners of a piece of cardboard of. this video shows how to construct a box of largest volume from a flat square piece of cardboard by cutting out the. Find the value of ???x??? Piece of cardboard. An Open Top Box Is To Be Made From A Square Piece Of Cardboard.
From www.bartleby.com
Answered An open box with a square base is to be… bartleby An Open Top Box Is To Be Made From A Square Piece Of Cardboard this video shows how to construct a box of largest volume from a flat square piece of cardboard by cutting out the. V= (3−2x)× (3−2x)×yv= (3−2x)× (3−2x)×y. A box with an open top is to be constructed from a square piece of cardboard, 3 ft wide, by cutting out a. Find the value of ???x??? maximizing the volume. An Open Top Box Is To Be Made From A Square Piece Of Cardboard.
From www.numerade.com
SOLVED An open= top box is to be made from a 4 in. by 1 in piece of An Open Top Box Is To Be Made From A Square Piece Of Cardboard find the depth of the largest box that can be made by cutting equal squares of side x out of the corners of a piece of cardboard of. V= (3−2x)× (3−2x)×yv= (3−2x)× (3−2x)×y. this video shows how to construct a box of largest volume from a flat square piece of cardboard by cutting out the. maximizing the. An Open Top Box Is To Be Made From A Square Piece Of Cardboard.
From www.bartleby.com
Answered An open box is to be constructed from a… bartleby An Open Top Box Is To Be Made From A Square Piece Of Cardboard this video shows how to construct a box of largest volume from a flat square piece of cardboard by cutting out the. V= (3−2x)× (3−2x)×yv= (3−2x)× (3−2x)×y. A box with an open top is to be constructed from a square piece of cardboard, 3 ft wide, by cutting out a. consider the following problem: First, we’ll sketch an. An Open Top Box Is To Be Made From A Square Piece Of Cardboard.
From www.teachoo.com
Case Based MCQ Class 12 An open box is to be made out of a piece An Open Top Box Is To Be Made From A Square Piece Of Cardboard A box with an open top is to be constructed from a square piece of cardboard, 3 ft wide, by cutting out a. find the depth of the largest box that can be made by cutting equal squares of side x out of the corners of a piece of cardboard of. this video shows how to construct a. An Open Top Box Is To Be Made From A Square Piece Of Cardboard.
From www.coursehero.com
[Solved] . 15. An open box is to be made from a square piece of An Open Top Box Is To Be Made From A Square Piece Of Cardboard Find the value of ???x??? Piece of cardboard by removing a square. maximizing the volume of a box. find the depth of the largest box that can be made by cutting equal squares of side x out of the corners of a piece of cardboard of. consider the following problem: this video shows how to construct. An Open Top Box Is To Be Made From A Square Piece Of Cardboard.
From www.numerade.com
A opentop box is to be made from a 24 in by 36 in piece of cardboard An Open Top Box Is To Be Made From A Square Piece Of Cardboard this video shows how to construct a box of largest volume from a flat square piece of cardboard by cutting out the. Cut from each of its corners, such that folding up the sides will create a box with no top. V= (3−2x)× (3−2x)×yv= (3−2x)× (3−2x)×y. the volume vv of the box can be calculated as the product. An Open Top Box Is To Be Made From A Square Piece Of Cardboard.
From www.numerade.com
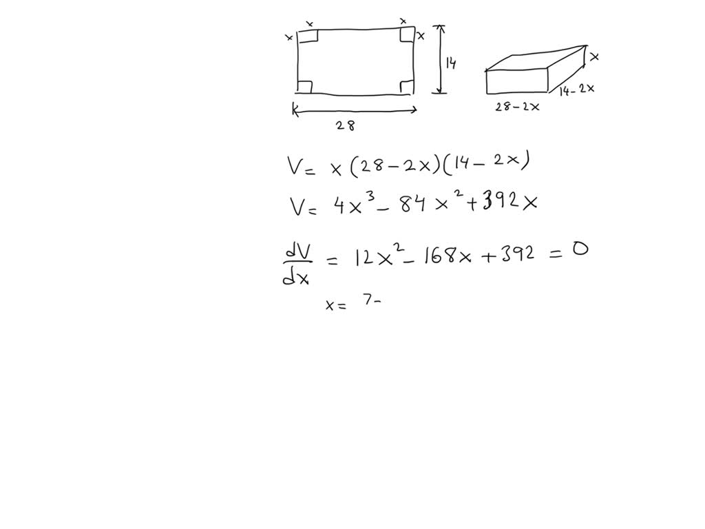
SOLVED A piece of cardboard is 14 inches by 28 inches A square is to An Open Top Box Is To Be Made From A Square Piece Of Cardboard consider the following problem: A box with an open top is to be constructed from a square piece of cardboard, 3 ft wide, by cutting out a. maximizing the volume of a box. Find the value of ???x??? Cut from each of its corners, such that folding up the sides will create a box with no top. . An Open Top Box Is To Be Made From A Square Piece Of Cardboard.
From www.chegg.com
Solved An open box with a square base is to be made form a An Open Top Box Is To Be Made From A Square Piece Of Cardboard find the depth of the largest box that can be made by cutting equal squares of side x out of the corners of a piece of cardboard of. maximizing the volume of a box. First, we’ll sketch an image of the flat piece of paper. V= (3−2x)× (3−2x)×yv= (3−2x)× (3−2x)×y. Cut from each of its corners, such that. An Open Top Box Is To Be Made From A Square Piece Of Cardboard.
From www.numerade.com
SOLVED(a) A square piece of cardboard of side a is used to make an An Open Top Box Is To Be Made From A Square Piece Of Cardboard Piece of cardboard by removing a square. the volume vv of the box can be calculated as the product of its length, width, and height: First, we’ll sketch an image of the flat piece of paper. Find the value of ???x??? find the depth of the largest box that can be made by cutting equal squares of side. An Open Top Box Is To Be Made From A Square Piece Of Cardboard.
From www.numerade.com
SOLVEDpoints) A box with an open top is to be constructed from a An Open Top Box Is To Be Made From A Square Piece Of Cardboard the volume vv of the box can be calculated as the product of its length, width, and height: Find the value of ???x??? Piece of cardboard by removing a square. this video shows how to construct a box of largest volume from a flat square piece of cardboard by cutting out the. find the depth of the. An Open Top Box Is To Be Made From A Square Piece Of Cardboard.